01概述
    Adams的接触几乎是离散的事件,当两个几何发生接触时,将会产生一个明显垂向力或脉冲力,同时部件的速度将会发生变化,加速度亦是离散的,同时会有许多峰值。接触的定义一般包括两种算法,分别是碰撞函数方法和罚函数方法。而最常使用的碰撞函数方法其实是使用Adams求解器中的“接触”函数求解实现。当接触的两个体在运动过程中相互渗透(几何的重叠),就会产生接触力。接触力计算需要的参数包括接触刚度K、回弹力指数e、最大渗入深度dmax、最大阻尼Cmax等参数。接触力的计算公式如下。
     
     
 
    本文重点介绍上述参数的设定方法。
     
    02
    碰撞函数的接触参数设置
     
    2.1 接触参数的初步设置
    根据赫兹接触理论,接触相关的公式如下:
     
 
     
    上述公式中,E*为合成弹性模量、E1及E2为两个接触几何的材料弹性模量、v1及v2为两各接触几何材料的泊松比,R为等效半径,R1及R2为两个接触几何球体的半径,a为接触半径,δ 为接触深度,P为接触时的碰撞载荷。
     
    根据上述公式1、2、3、4可以得出如下的碰撞载荷计算公式5:
     
     
 
     
    通过公式5,可以推导出接触刚度K=((16RE^(*2))/9)^(1/2) ,回弹力指数e=3/2。而最大阻尼系数的初始值可以根据经验进行预定义(例如1E4, 或者刚度的1‰),最大渗透深度dmax可初始定义为等效半径R的1%。通过迭代计算不同的接触参数,逐步优化,最终得到理想的接触参数。
     
    2.2 接触参数的迭代过程
    接触参数的调试过程如下图1所示。
     
     
 
    图1 接触参数调试过程
     
    具体说明说下:
    1. 根据上述2.1中计算或初步定义的接触参数,进行一次初步的仿真分析;通过仿真分析可以得到接触力;
    2. 应用公式4以及1中计算的接触力进行渗透深度的计算。该渗透深度用来定义接触定义时的最大渗透深度dmax,一般将计算的渗透深度的30%的作为新迭代的dmax的新值;
    3. 再次运行仿真,查看如下结果:
    接触力中的阻尼力与刚度力的占比关系。常规的接触力中的刚度部分占据着主要的部分,接触力中,一般刚度接触力与阻尼接触力的比例关系为9:1。其中刚度力和阻尼力均需要以最大值作为比较量。下图2为接触力中刚度接触力与阻尼接触力的占比关系图。
     
     
 
    图2 接触力合力、接触力刚度部分、接触力阻尼部分的对比
     
    4. 如果接触力中的刚度与阻尼占比不是期望的,可以通过调节最大阻尼系数Cmax实现,如果若刚度接触力与阻尼接触力比值大于9:1,需要将Cmax增加,否则减小,如果接触力占比关系符合要求,至进行步骤5。
    5. 校核Adams求解的接触渗透深度与理论计算的渗透深度是否相差较小。若Adams求解渗透深度(非dmax)与计算的渗透深度相差很小,即可以转至第6步骤,否则考虑一个新的dmax(例如40%的计算渗透深度),返回至第3步骤进行求解。
    6. 如果更改dmax仍不能使Adams求解的渗透深度与公式计算的渗透深度相差不大,需要调节新的接触刚度K值,返回至步骤3。在调节接触刚度K值的过程中,若发现K值对最终的渗透深度不起作用,需要将K值调回至原来的理论计算值,再调节回弹力指数e来实现渗透深度的要求。
     
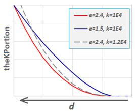
    其中回弹力指数在接触的前期对接触力影响大,接触刚度K在接触的后期对接触力影响大。
     
     
 
    图3 回弹力指数和接触刚度对接触力的影响关系
     
    版权与免责声明:
    本网站所刊登的文章及资料均来自互联网或投稿人,仅供读者参考和借鉴,不代表本网站赞同其观点和对其真实性负责。如涉及作品内容、版权和其它问题,请及时与本网站联系,我们将在第一时间进行处理。