01概述
    在两个几何物体之间,可以定义二维接触或者三维接触。Adams Solver计算两个物体之间的接触力是有条件的,当两个几何之间不存在渗入深度时,接触力为零,存在渗入深度,才会有接触力。Adams支持多部件之间的接触定义、摩擦的定义、二维几何之间的接触以及三维实体的接触。除了球与平面的接触,其他二维几何与三维实体的接触暂时还不支持。
     
     
 
    图1:接触的定义
     
    02接触中支持的几何类型
    表1:接触支持的类型
     
     
 
    Adams也支持非实体的三维几何,比如曲面闭合的shell单元。
     
    03
    接触法向力的定义方法
    除了用户自定义的方法外,接触算法包括碰撞函数接触算法和弹性恢复算法。
     
    3.1  碰撞函数接触算法
    在几何没有任何交叠(渗入)时,接触力为0;当开始交叠时,将会产生接触力。对于碰撞函数算法的接触法向力公式如下:
     
     
 
     
    其中:
    k 为刚度;
    g 为接触渗入深度,两个几何重叠体积的中心点至两个几何的最近表面均会有相应的点,上述两个表面点的距离即为渗入深度,具体如图2所示;
    e 为回弹力指数;
    dmax 为最大阻尼系数对应的渗入深度;
    cmax 为最大阻尼系数,即接触定义对话框中的”damping”。
     
     
 
    图2 渗入深度图示
     
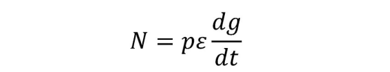
    3.2 弹性恢复算法
    弹性恢复算法的接触法向力公式如下:
     
     
 
     
    其中:
    p 为罚值;
    ε 为恢复系数;
    dg/dt 为接触点位置的接触速度。
    此时文件夹内多出mdf文件如下图所示。
     
    恢复系数ε是接触法向力的主要影响因素,取值为0~1之间,当取值为1时,为弹性接触;取值为0时,为非弹性接触。
     
    罚值类似于碰撞函数接触算法中的刚度,但是该值与接触的几何材料没有任何关联。该参数的默认值为1.0e5,单位为阻尼单位N/(mm/sec)。
     
    3.3 两种接触方法的选择
    •  弹性恢复算法更适用于动态或间歇的接触,应用于持续的接触时,可能出现轻微颤动的情况;
    •  弹性恢复算法尝试模拟完美的接触约束,所以在接触事件中,无法评估接触渗入量和法向力;
    •  弹性恢复算法相比碰撞函数算法,更接近能量守恒法则,所以在研究系统的能量损失时,弹性恢复算法更为合适;
    •  相比于弹性恢复算法,碰撞函数算法更为稳健,对误差容差不敏感,所以碰撞函数算法更为推荐,也是唯一能够进行柔性接触定义的方法。
     
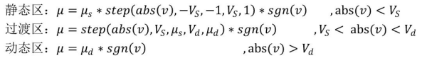
    04接触摩擦
    Adams的摩擦区域包括三个区域,分别为静态区、过渡区以及动态区。具体的摩擦系数变化如下公式及图3所示。
     
     
    
 
    图3:摩擦系数与速度的关系
     
    05后续
    敬请关注“Adams接触定义指南:碰撞函数的参数设置”、“Adams接触定义指南:接触参数调试案例”以及“Adams接触定义指南:柔性体接触”等内容。
     
    版权与免责声明:
    本网站所刊登的文章及资料均来自互联网或投稿人,仅供读者参考和借鉴,不代表本网站赞同其观点和对其真实性负责。如涉及作品内容、版权和其它问题,请及时与本网站联系,我们将在第一时间进行处理。